Center for Community Support and Development Studies, Real-Time Analytics and United Nations Development Program
![]() |
| Collecting waste on the Hau river near Cai Rang floating market, Can tho city__Photo: Trung Kien/VNA |
Introduction
With Vietnam on the frontlines of the climate crisis as one of the world’s most vulnerable countries, the Vietnam Provincial Governance and Public Administration Performance Index (PAPI) surveys, apart from capturing citizens’ assessment of governance and public administration performance at the national and local levels,[1] explored citizens’ perceptions and experiences of climate change-driven extreme weather events and disasters as well as the Government’s role in disaster governance. In 2024, the PAPI survey to understand citizens’ expectations of Government-led climate action came at a critical time with Typhoon Yagi, the strongest storm to hit Vietnam in three decades, leaving a trail of destruction across 26 provinces in September 2024.
Against this backdrop, with Vietnam exposed to this potent combination of typhoons, storms, flooding as well as slow onset disasters such as drought and saltwater intrusion, it is more critical than ever to examine their impacts on livelihoods and infrastructure, both as lived experiences and perceived threats. These insights, when measured against initial PAPI data harvested in 2021, are captured in this article.[2] They are expected to inform government responses at national and provincial levels to realize a climate resilient future for all citizens and communities across this geographically diverse country.
Frequency and impacts of climate-linked disasters as experienced by citizens
This section presents PAPI findings on the frequency of climate-linked disasters as experienced by citizens across Vietnam since 2021, with 2024 particularly in focus. To gauge the scale and frequency of such disasters across the nation, the survey revealed that 38.4 percent of respondents nationwide reported their homes were directly affected by at least one climate-linked disaster in 2024, about 6 percent greater than in 2023 and a jump of 25 percent compared to 2021 (see Figure 1). Strikingly, 19 percent of respondents experienced at least one disaster, with many experiencing several including heat waves, droughts, landslides, and flooding in 2024 (see Figure 2).
![]() |
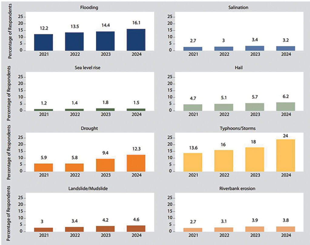
With the past four years witnessing an alarming number of climate-linked disasters – especially storms, floods and droughts, Figure 3 illustrates their prevalence with typhoons or storms the most commonly reported event. In 2024, nearly a quarter (24 percent) of respondents said one struck their locality, nearly doubling the number in 2021, primarily due to Typhoon Yagi. Meanwhile, as the aftermath of Yagi showed, flooding as a result of heavy rains from storms can be deadly and economically disastrous for downstream communities. Flooding was reported by 16 percent, up by a third from 12 percent in 2021. At the same time, the prevalence of droughts also increased, with the number of respondents reporting their communities experienced droughts doubling from 6 percent in 2021 to more than 12 percent in 2024. The increased percentages of citizens seeing higher prevalence of such climate-related events, in a way, display the high variability in weather patterns of climate change over the past few years.
![]() |
| Figure 3: Trends in prevalence of key climate-related events experienced by citizens, 2021-24 |
Also, as Figure 3 shows, the prevalence of salinization and hail remained relatively stable. Sea level rises, while less frequently reported than other events, showed slight increases in 2023 and 2024. Landslides, mudslides and riverbank erosion were reported by smaller proportions of respondents, with some increases in 2024 as a result of Typhoon Yagi. However, these disasters tend to be more regionally concentrated close to coastlines. More specific regional analysis of these disasters is explored later in this section.
In 2024, the PAPI survey added a question on whether citizens observed increases in a range of climate-linked effects over the last five years, with more climate-linked disaster phenomena added. As Figure 4 illustrates, hot summers and increasingly warm winters have become more common, followed by heavy rains and flooding. More than 83 percent of respondents across the country said summers were acutely hot and 74 percent perceived that Lunar New Year (Tet) holidays – a calendar date that marks the shift from winter to spring – have been unusually warm. Increased spells of heavy rain were noted by 64 percent of respondents, while just under half pointed to noticeable increased incidences of flooding.
![]() |
| Figure 4: Climate-related events perceived as occurring more frequently by citizens, 2024 |
Longer periods of very hot days and warmer Tet periods over the past five years were observed by citizens across Vietnam, with more citizens in the north and central regions reporting hotter days. As shown in heat maps in Figures 5 and 6, a significant majority of respondents from northern and central provinces, with the exception of those from northern border mountainous areas, perceived an increase in very hot days over the past five years. Central provinces displayed the highest percentages, with more than 90 percent of respondents reporting more frequent hot days, while southern provinces generally showed slightly lower percentages, but still exceeding 70 percent agreement. Figure 6 portrays the share of respondents who perceived that the Tet period had become warmer over the past five years. A clear pattern emerges, with northern provinces exhibiting the highest percentages, exceeding 80 percent agreement. Moving southward, percentages generally decrease, with central and southern provinces showing agreement levels between 50-70 percent. This suggests a north-south gradient in perceived warming trends during Tet, with northern residents experiencing more pronounced changes. The findings illustrate that perceptions of increased heat align with broader concerns about climate change and its impacts on daily life in Vietnam.
![]() |
PAPI 2024 also reveals a strong correlation between perceived increases in heavy rainfall and flooding frequency across the country, with distinct regional patterns emerging. As Figure 7 and 8 show, northern mountainous and coastal provinces, along with central coastal areas like Da Nang, Quang Nam, and Thua Thien-Hue (renamed as Hue City - Vietnam’s sixth centrally-run municipality on January 1, 2025), reported the highest agreement rates (80-100 percent) for increased heavy rain and flooding. Conversely, the southern Mekong River Delta and parts of the Central Highlands showed the lowest agreement rates (20-40 percent) for both events. These north-south differences highlight the need for regionally tailored climate action strategies, with a focus on specific climatic challenges.
![]() |
Although less pronounced, a distinct geographical pattern in perceptions of increased drought frequency was also observed. As shown in Figure 9, agreement that droughts were becoming more frequent was highest in the northern mountainous and north-central coastal provinces, with a significant cluster in the 50-100 percent range, indicating a perceived increase in drought in the last five years. In contrast, the southern regions, including southeastern and Mekong River Delta regions, largely fall within the lowest agreement bracket (0-25 percent), suggesting a perception of either no change or minimal increases in drought frequency.
![]() |
| Figure 9: Percentage of respondents agreeing droughts were more frequent by province, 2024 |
Salinization of cropland is highly concentrated in the Mekong River Delta, with significant damage to family livelihoods and a key driver of climate migration into southern cities, as previously fertile ground becomes unfarmable. Zooming into Vietnam’s rice basket, Figure 10 shows that Ben Tre and Tien Giang provinces were hardest hit. In Ben Tre, just under half (49 percent) of respondents experienced salinization of their rice fields in 2024, down from a peak of 64 percent in 2022, possibly because of higher water levels in the Mekong River.[3] While respondents from Tien Giang were unable to participate in the 2024 survey, the graph shows a sharp rise in salinization-affected citizens from 18.5 percent in 2021 to 41.5 percent in 2023. According to the National Center for Hydro-Meteorological Forecasting,[4] Ben Tre and Tien Giang were more seriously affected by saline intrusion than other Mekong River Delta provinces, aligning with citizens’ experiences of the phenomenon as reported by PAPI.
![]() |
| Figure 10: Percentage of respondents experiencing salinization in the Mekong River Delta, 2021-24 |
To understand how citizens evaluate climate change impacts on household welfare, the 2024 PAPI included a question that allows its respondents to give a score from one to 10, with the former meaning that climate change only creates negative impacts and offers no positive benefits for livelihoods or welfare, and the latter representing only positive such impacts. Figure 11 presents the percentage of respondents on each value ranging from one to 10. On average, the score was 5.14 points, showing that many respondents (65 percent giving a score at or below 5.14) were concerned about climate change impacts on their livelihoods or welfare. Critically, those who expressed extreme negative effects (one or two on the scale) made up 16 percent of the sample compared to only 9 percent displaying extreme optimism (nine or 10 on the scale).
![]() |
| Figure 11: Impact of climate-related events on household welfare, 2024 |
With a view to examining governmental and citizen responses to climate-linked disasters, the 2024 PAPI survey included a follow-up question asking respondents about their level of agreement that the local government was adequately providing seven types of public services to increase resilience and responsiveness to climate disasters and the engagement of citizens in the process.[5] Figure 12 presents the national distribution of levels of agreement with the seven given statements. Using a scale of 1 (strongly disagree with statement) to 4 (strongly agree), average scores ranged from 3.03 to 3.18, indicating generally high levels of satisfaction. Respondents identified three areas where local governments could improve: strengthening infrastructure (roads, dikes, and drainage systems), providing more timely disaster warnings, and accelerating transport infrastructure restoration after disasters. These three areas were where more than 10 percent of respondents expressed dissatisfaction with services delivered in 2024. Citizens’ willingness to participate in rescue and relief efforts gained the highest score, indicating the importance of citizens’ role in assisting local governments with disaster relief.
![]() |
| Figure 12: Citizens’ assessment of policy and action in response to climate-related disasters, 2024 |
Citizens’ experiences of climate-induced events in provinces hit by Typhoon Yagi
Typhoon Yagi made landfall in northern Vietnam on September 7, two months after the 2024 PAPI fieldwork for data collection commenced on 18 July. Among the 26 Yagi-affected northern and north-central provinces, PAPI field survey teams visited 10 provinces before and 16 after Yagi hit. Considered the strongest typhoon to hit Vietnam in three decades – causing flash floods, landslides, severe flooding and leaving devastation in its wake for affected communities[6] – it is critical to review its impacts to help inform government preparedness and responses to similar shocks in the future. This section reveals such impacts.
![]() |
| Figure 13: Impact of Yagi on climate events experienced by citizens in 2024 |
Figure 13 provides insights into how Typhoon Yagi affected citizens’ perceptions and experiences of climate-triggered disasters, highlighting key differences between those directly impacted or not. First, the proportion of citizens reporting being affected by a climate-linked event is significantly higher in provinces struck by Yagi and surveyed after the event (48 percent) compared to those not hit (34 percent). Based on the population sizes of Yagi-impacted provinces, this 14 percent gap represents a difference of about three million people directly impacted by Yagi who are now more likely to report being directly impacted by climate-linked disasters. Second, the perception of an increasing number of climate events was also heightened in Yagi-hit provinces. Respondents in areas surveyed after Yagi struck reported experiencing 0.81 more climate events on average, compared to 0.67 in unaffected areas. This suggests that the direct impact of a severe weather event like Yagi can amplify perceptions of climate-linked disaster frequency and intensity. Additionally, the graph reveals specific climate events more prevalent in Yagi-affected provinces. Heavy rain and flooding were reported at significantly higher rates (75 and 70 percent, respectively) in Yagi-affected areas, surveyed after the event. Landslides and flash floods were also more likely to be reported in Yagi-affected areas, but their prevalence in surveyed areas before Yagi indicates these disasters were also quite common in previous years.
![]() |
| Figure 14: Citizens’ assessment of climate change on household welfare in Yagi- and non-Yagi impacted provinces in 2024 |
Further to the overall findings about how citizens scored the effects of climate change on household welfare as illustrated in Figure 11, Figure 14 demonstrates if citizens in Yagi-affected provinces have different views from those in provinces not struck by Yagi, also considering the low national average score of 5.14 on the scale from 1 (very negative) to 10 (very positive). As it reveals, respondents in one-third of Yagi-affected provinces had negative assessments of climate change impacts on their livelihoods. Provinces struck by Yagi after the 2024 PAPI survey showed a wider range of scores, with some like Bac Giang and Lang Son reporting a less negative impacts (closer to 5), while others such as Hai Phong, Son La and Tuyen Quang perceiving more negative impacts (closer to 1). This variation likely reflects the unique impacts of the typhoon in different provinces. In contrast, provinces not impacted by Yagi show a tighter clustering of scores, primarily between 4-5.5, indicating a generally less negative perception of climate change’s impact on household welfare. The findings indicate that direct experiences of a climate-linked disaster can significantly influence perceptions of economic impacts. While citizens in unaffected provinces tend to have a more positive outlook, those directly impacted by Yagi show a wider range of perceptions, reflecting the varying degrees of economic vulnerability and resilience across different provinces.
![]() |
| Figure 15: Citizens’ assessment of the impact of climate change on their livelihoods and preference for environment protection in Yagi-affected and other provinces in 2024 |
Figure 15 reveals the multifaceted impacts of Typhoon Yagi and nuanced perceptions of climate change among Vietnamese citizens. Comparing perceptions of climate change impacts on their livelihoods (see the first panel), those surveyed after were more negative about climate change, with an average score of 5.18 on a scale of one to 10, compared to 5.24 in provinces struck by Yagi but surveyed before. While small, it indicates that direct and lived experiences with disasters increases awareness of climate change impacts.[7] Notably, awareness of climate change impacts is more dramatically shown in the second panel of Figure 15, where a significant difference emerges in preferences for environmental protection over economic growth.[8] A higher percentage of respondents in provinces struck by and surveyed after Yagi (74.51 percent) prioritized environmental protection over economic growth compared to those surveyed before (70.35 percent) and in unaffected provinces (64.57 percent). This indicates that experiencing a climate-linked disaster likely sharpens preferences for environmental protection, potentially reflecting a greater awareness of the dangers of deforestation, especially during flooding, alongside the need for conservation measures.
The third panel in Figure 15 presents a comparative analysis of citizens’ assessment of policy and action in response to climate-linked disasters. In general, there were no observable differences in views about government responses across Yagi-hit provinces and elsewhere with an average score of 3.10 across all three groups indicating general citizen satisfaction with government disaster response and relief services in 2024.[9]
Finally, in terms of issues of greatest concern, there are differences between Yagi-hit provinces and elsewhere. Those struck by Yagi were more concerned with public services and economic growth, with Figure 16 revealing they were 8 percentage points more likely to express concern about education than before the typhoon hit. Notably, more than 2,200 schools were damaged by Yagi.[10] Moreover, they were also 4 percentage points more likely to say they were concerned with other public services, which they most often cited as repairing flooding damage. Also, more respondents surveyed after Yagi were concerned about the environment (2.5 percentage points), aligning a preference for environmental protection, as shown in the second panel of Figure 15.
![]() |
| Figure 16: Impact on issues of greatest concern in provinces struck by Typhoon Yagi in 2024 |
Conclusions
This article reveals a complex relationship between climate change perceptions, lived disaster experiences, and perceived economic impacts among citizens as revealed in the 2024 PAPI deep dive. With a growing awareness of climate change and its effects, the complexity will inevitably grow as disasters intensify in frequency and destructive power.
As such, this article underscores the need for comprehensive climate action in Vietnam, including disaster preparedness, economic resilience, and environmental protection. From a policy perspective, this means a multi-faceted approach to disaster preparedness beyond awareness campaigns, with investment in resilient infrastructure, early warning systems, and community-based programs. Disaster response mechanisms must also be geared toward responsiveness to community needs, including interagency coordination and citizens’ enhanced access to information and resources. Typhoon Yagi significantly contextualized citizens’ direct experiences with climate-linked disasters and their perceptions of climate trends, highlighting the importance of localized experiences in developing climate policies and adaptation strategies. All provinces should strengthen their disaster preparedness and response capabilities, calibrated to their unique vulnerabilities as opposed to a national one-size-fits-all approach.-
[1] See the first article that reveals the national overview of governance and public administration issued on Vietnam Law and Legal Forum in April 2025 at https://vietnamlawmagazine.vn/2024-papi-report-government-reforms-offer-historic-opportunity-to-enhance-local-governance-for-all-74085.html and the second one on provincial performance on the same magazine in May 2025 at https://vietnamlawmagazine.vn/assessing-provincial-performance-in-2024-gaps-and-opportunities-for-local-government-action-in-final-mile-of-2021-26-term-74358.html.
[2] This article presents an excerpt from Chapter 2 of the 2024 PAPI Report, available at https://papi.org.vn/wp-content/uploads/2025/04/PAPI_2024_REPORT_ENG_final.pdf.
[3] See Lao Dong (September 30, 2024). Flood peak in the Mekong River Delta in 2024 about 0.4 meter higher than in 2023. Available at https://laodong.vn/xa-hoi/dinh-lu-dbscl-nam-2024-cao-hon-nam-2023-khoang-04m-1401617.ldo.
[4] See Nguoi Lao Dong (7 April 2024) How long does saline intrusion in the Mekong River Delta last?, available at https://nld.com.vn/xam-nhap-man-o-dong-bang-song-cuu-long-keo-dai-den-bao-gio-196240406210459973.htm for a review of salinization in Ben Tre and Tien Giang provinces in early 2024.
[5] (i) Ease of access to weather, meteorological, and hydrographical information, (ii) adequacy of infrastructure (roads, dikes, and drainage) for disaster prevention, (iii) regularity of provincial government warnings to households, (iv) speed of post-disaster restoration of local transport infrastructure, (v) speed of post-disaster restoration of basic infrastructure services (electricity, water, and telecommunications), (vi) timeliness of provincial government post-disaster assistance, and (vii) citizen willingness to participate in rescue and relief efforts.
[6] See MARD, UN and EU (December 2024). Vietnam Multi-Sector Assessment (VMSA) Report for Typhoon Yagi Recovery. Commissioned by MARD, UN and the EU in December 2024, available at https://www.undp.org/vietnam/publications/viet-nam-multi-sector-assessment-vmsa-report-typhoon-yagi-recovery.
[7] Question D611e asked respondents to rate climate change impacts on a 10-point scale, where a score of 10 means that climate change has no negative impact and it only creates opportunities (for example, new business opportunities, products or services, electricity generated from new energy industries, such as solar and wind power). A score of 1 means that climate change only creates negative impacts, and it offers no positive benefits (for example, damaged fields, destroyed buildings, disrupted services). These scores were depicted in the histogram in Figure 11.
[8] Question D307 asked respondents: “With which one of these statements do you most agree? 1) Protection of the environment should be given priority, even at the risk of economic growth. 2) Economic growth should be given priority even if protection of the environment suffers”. The middle panel reports the percentage of respondents that selected protection of the environment.
[9] Panel 3 reports the average agreement score with adequate government coverage on the seven types of resilience and disaster response services from D611 depicted in Figure 12.
[10] See MARD, UN and EU (December 2024), p.15.













